- 快召唤伙伴们来围观吧
- 微博 QQ QQ空间 贴吧
- 文档嵌入链接
- 复制
- 微信扫一扫分享
- 已成功复制到剪贴板
確率変数 - 青山学院大学社会情報学部寺尾敦
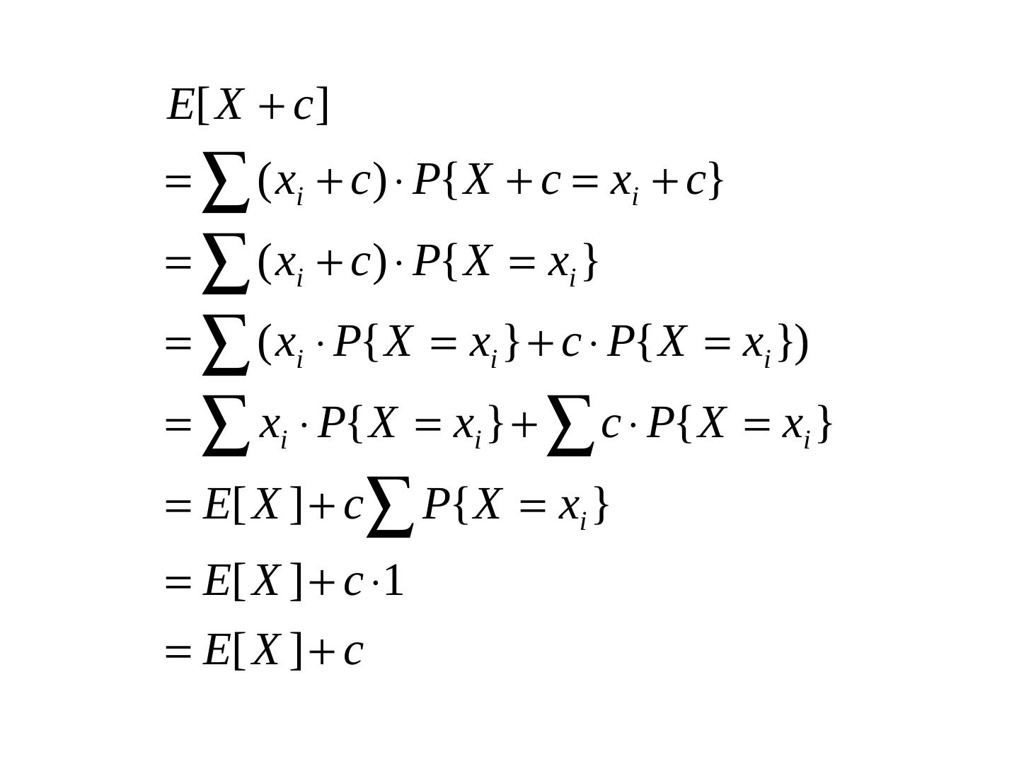
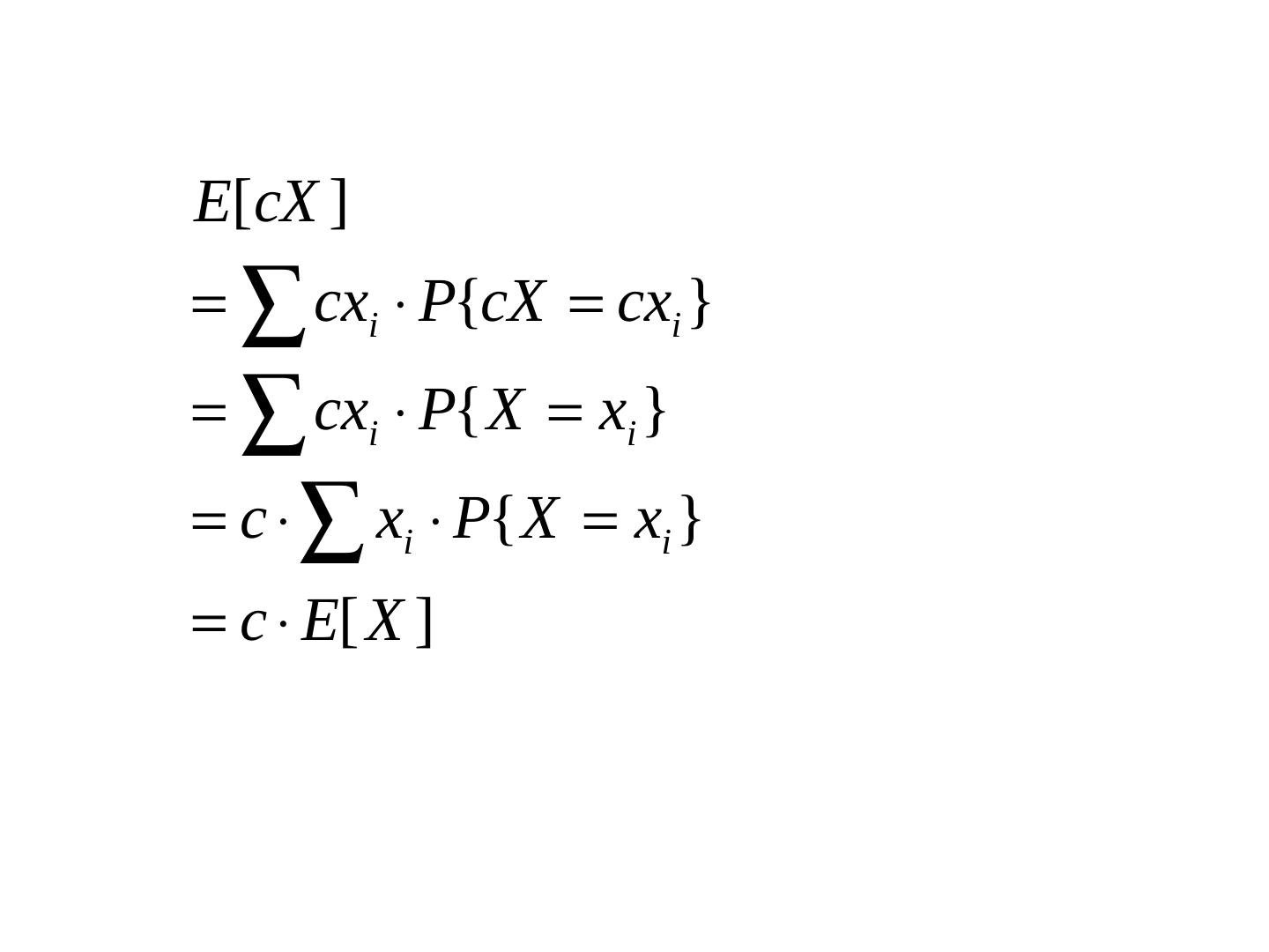
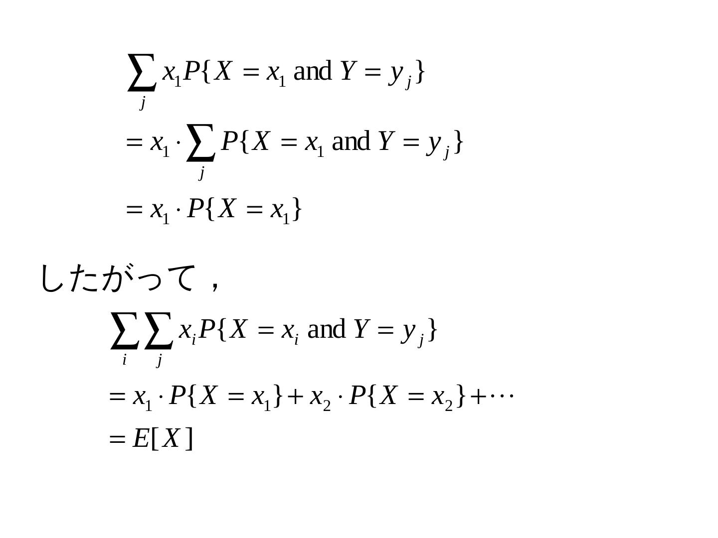
確率分布は理論的に想定される数学的モデルである. 推測統計では,母集団 ... をとる確率変数 X を,離散型(discrete type)の確率変数と呼ぶ.たいていは有限個の値を ...
展开查看详情
3秒后跳转登录页面
去登陆
















































