- 快召唤伙伴们来围观吧
- 微博 QQ QQ空间 贴吧
- 文档嵌入链接
- 复制
- 微信扫一扫分享
- 已成功复制到剪贴板
Artificial Neural Networks
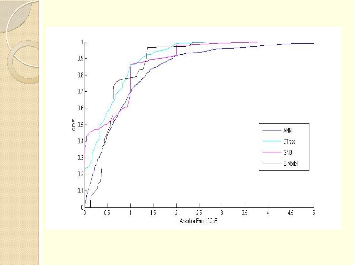
Artificial Neural Networks. Naïve Bayes Classifier; Decision Trees. Application on VoIP in Wireless Networks. Machine Learning. The study of algorithms and ...
展开查看详情
3秒后跳转登录页面
去登陆





















































































