- 快召唤伙伴们来围观吧
- 微博 QQ QQ空间 贴吧
- 文档嵌入链接
- 复制
- 微信扫一扫分享
- 已成功复制到剪贴板
概率论与数理统计第五章--二维随机变量及其分布
展开查看详情
1 .第五章 二维随机变量及其分布 二维随机变量及分布函数 二维离散型随机变量 二维连续型随机变量 边缘分布 随机变量的独立性 条件分布
2 .§1.1 二维随机变量及分布函数 一、 二维随机变量 一般地,如果两个变量所组成的有序数组即 二维变量( X , Y ),它的取值是随着实验结 果而确定的,那么称这个二维变量( X , Y ) 为二维随机变量,相应地,称( X , Y )的取 值规律为二维分布
3 .§5.1 二维随机变量及分布函数 二、联合分布函数 定义: 设 (X,Y)X,Y) 是二维随机变量, 则称 F(X,Y)x,y)=P{Xx,Yy} 为 (X,Y)X,Y) 的分布函数,或 X 与 Y 的联合分布函数 , 其 中 x,y 是任意实数 . 注:联合分布函数是事件 {X≤x} 与 {Y≤y} 同时发 生 (X,Y) 交 ) 的概率
4 .§5.1 二维随机变量及分布函数 二、联合分布函数 几何意义 如果将二维随机变量 (X,Y)X,Y) 看成是平面随机点的坐标 , 那么联合分布函数 F(X,Y)X,Y) 在 (X,Y)X,Y) 的函数值就是 以为 随机点 (X,Y)X,Y) (X,Y)x,y) 右上角拐点的无穷矩形内的概率 . 落在 F ( x , y ) P ( X x, Y y )
5 .§5.1 二维随机变量及分布函数 二、联合分布函数 性质 ① 对任意的 x,y, 有 0≤F(X,Y)x,y)≤1; ② F(X,Y)x,y) 关于 x 、关于 y 单调不减; 当 x1 x2 时,有 F ( x1 , y ) P( X x1 , Y y ) P ( X x2 , Y y ) F ( x2 , y ) 当 y1 y2 时,有 F ( x, y1 ) P( X x, Y y1 ) P ( X x, Y y2 ) F ( x, y2 )
6 .§5.1 二维随机变量及分布函数 二、联合分布函数 性质 ③ F(X,Y)x,y) 关于 x 、关于 y 右连续 F ( x0 0, y ) lim F ( x, y ) F ( x0 , y ) x x0 0 F ( x, y0 0) lim F ( x, y ) F ( x, y0 ) y y0 0
7 . §5.1 二维随机变量及分布函数 二、联合分布函数 性质 ④ F ( , ) lim F ( x, y ) 0 x y F (, ) lim F ( x, y ) 1 x y F ( x, ) lim F ( x, y ) 0 y F ( , y ) lim F ( x, y ) 0 x
8 .§5.1 二维随机变量及分布函数 二、联合分布函数 性质 ⑤ 随机点 (X,Y)X,Y) 落在矩形区域 {( x, y ) | x1 X x2 , y1 Y y2 } y 的概率 y2 y1 0 x1 x2 x P( x1 X x2 , y1 Y y2 ) F ( x2 , y2 ) F ( x2 , y1 ) F ( x1 , y2 ) F ( x1 , y1 )
9 .§5.1 二维随机变量及分布函数 二、联合分布函数 性质 注:任何一个二维联合分布函数 F(X,Y)x,y) 必具有以 上五条基本性质,还可证明具有以上五条性质的 二元函数 F(X,Y)x,y) 一定是某个二维随机变量的分布 函数 . 即这五条性质是判定一个二元函数是否为 某个随机变量的分布函数的充要条件
10 .例 1. 已知二维随机变量 (X,Y)X,Y) 的分布函数为 F ( x, y ) A[ B arctan x][C arctan y ] 求常数 A , B , C. 解 : F ( , ) A[ B ][C ] 1 2 2 F ( , y ) A[ B ][C arctan y ] 0 2 F ( x, ) A[ B arctan x ][C ] 0 2 1 B C A 2 2
11 . §5.2 二维离散型随机变量 一、二维离散型随机变量及联合分布律 1. 二维离散型随机变量定义 若二维随机变量 (X,Y)X,Y). 如果它可能取的值是有限个或 可数多个数组对 (X,Y)xi,yj),(X,Y)i,j = 1,2,… ) ,则称 (X,Y)X,Y) 为二维离散型随机变量。 2. 联合分布律 若二维离散型随机变量 (X,Y)X,Y) 取 (X,Y)xi,yj) 的概率为 pij , 则称 P{X = xi,Y = yj} = pij , (X,Y)i,j = 1, 2,…) , 为二维离散型随机变量 (X,Y)X,Y) 的分布律,或随机变量 X 与 Y 的联合分布律 . 可记为 (X,Y)X,Y) ~ P{X = xi, Y = yj,} = pij ,(X,Y)i,j = 1,2,…) ,
12 .§5.2 二维离散型随机变量 一、二维离散型随机变量及联合分布律 二维离散型随机变量的分布律也可列表表示如下 : Y y1 y2 … yj … X x1 p11 p12 … p1j … x2 p21 p22 … p2j … … … … … … … xi pi1 pi2 … pij … … … … … … … 联合分布律的性质 (X,Y)1) 0≤pij≤1, i, j = 1, 2, … (X,Y)2) i 1 j 1 pij=1
13 .§5.2 二维离散型随机变量 一、二维离散型随机变量及联合分布律 例 2一口袋中有三个球,它们依次标有数字 1,2,2. 从这 袋中任取一球后 , 不放回袋中 , 再从袋中任取一球 . 设每 次取球时 , 袋中各个球被取到的可能性相同 . 以 X,Y 分别 记第一次、第二次取得的球上标有的数字 . 求 : (X,Y)1) X,Y 的分布律 ;(2) P(X≥Y). 解 : P(X=1,Y=2)=(1/3)×1=1/3 P(X=2,Y=1)=(2/3)×(1/2)=1 /3 P(X=2,Y=2)=(2/3)×(1/2)=1/ 3 Y 1 2 X 1 0 1/3 2 1/3 1/3
14 . §5.2 二维离散型随机变量 一、二维离散型随机变量及联合分布律 (2) 由于事件 {X≥Y}={X=1,Y=1}∪{X=2,Y=1}∪{X=2,Y=2} 且三个事件互不相容 , 因此 P(X≥Y)=P(X=1,Y=1)+P(X=2,Y=1)+P(X=2,Y=2) =0+(1/3)+(1/3)=2/3 有放回抽取方式 P(X=1,Y=1)=1/9 Y 1 2 P(X=1,Y=2)=2/ X 9 P(X=2,Y=1)=2/9 1 1/9 2/9 P(X=2,Y=2)=4/ 2 2/9 4/9 9
15 .§5.2 二维离散型随机变量 一、二维离散型随机变量及联合分布律 分布律与分布函数的关系 若 (X,Y)X,Y) 的分布律为 P{X=xi,Y=yj}=pij, i,j=1,2,… 则 (X,Y)X,Y) 的分布函数为 F(x,y) p xi x,yj y ij 其中和式是对一切满足 xi≤x , yj≤y 求和。
16 .§5.2 二维离散型随机变量 一、二维离散型随机变量及联合分布律 例 若 (X,Y)X,Y) 的分布律如下表, 求 (X,Y)X,Y) 的分布函数。 y Y 0 1 X 0 1/2 0 1 1 0 1/2 1 x 解 0 x 0或y 0 1 0 x 1, y 0 F ( x, y ) 2 1 x 1,0 y 1 2 1 x 1, y 1
17 . §5.3 二维连续型随机变量 一、二维连续型随机变量及联合密度函数 1. 定义:设 (X,Y)X,Y) 的分布函数为 F(X,Y)x,y), 若存在一非负 函数 f(X,Y)x,y), 使得对于任意的实数 x,y 有 y x F ( x, y ) f ( x, y )dydx 则称 (X,Y)X,Y) 是连续型二维随机变量 , 函数 f(X,Y)x,y) 称 为二维随机变量 (X,Y)X,Y) 的 (X,Y) 联合 ) 概率密度函数 . 2 .概率密度 f(X,Y)x,y) 的性质 (1)非负性 f ( x, y ) 0. (2)规范性 f ( x, y )dxdy F (,) 1.
18 . §5.3 二维连续型随机变量 一、二维连续型随机变量及联合密度函数 (X,Y)3). 若 f(X,Y)x,y) 在点 (X,Y)x,y) 连续,则有 F2 ( x, y) f ( x , y) xy y x 因为 F( x, y) f (u, v)dudv. (X,Y)4). 设 G 是 xy 平面上的一个区域 , 点 (X,Y)X,Y) 落在f ( x, y ) G 内的概率为 : P{( X , Y ) G } f ( x , y )dxdy G 在几何上 z= f(X,Y)x,y) 表示空间的一个曲面。 P{(X,Y)X,Y)∈G} 的值等于以 G 为底 , 以曲面 z= f(X,Y)x,y) 为顶面的柱体体积。 y D x
19 . §5.3 二维连续型随机变量 一、二维连续型随机变量及联合密度函数 例 3: 设二维随机变量 (X,Y)X,Y) 具有概率密度 ce ( 2 x 4 y ) , x 0, y 0, f ( x, y ) 0 其他 求: (X,Y)1) 常数 c ; (2)P(X≥Y). 解 : (X,Y)1) 由性质 f ( x, y )dxdy 1 得到 0 0 ce ( 2 x 4 y ) dxdy 1 1 1 dxdy c e dx e (2 x4 y ) 2x 4y ce dy c 0 0 0 0 2 4 因此解得 c=8
20 .§5.3 二维连续型随机变量 一、二维连续型随机变量及联合密度函数 (2)P(X≥Y)= f ( x, y)dxdy x y x dx 8e dy 2e 2 x ( e 4 y ) |0x dx (2 x4 y ) = 0 0 0 )dx 2e 2x 4y 2x = 2e (1 e dx 2e 6 x dx 0 0 0 = 1 1 6 x e |0 3 1 2 = 1 3 3
21 .§5.3 二维连续型随机变量 二、两个常见二维连续型随机变量的联合密度函数 (X,Y) 一 ) 均匀分布 定义 : 设 G 是平面上的有限区域 , 面积为 A, 若二维 随机向量 (X,Y)X,Y) 具有概率密度 . 1 ( x, y) G f ( x , y ) A 0 其他 则称 (X,Y)X,Y) 在 G 上服从均匀分布。
22 . §5.3 二维连续型随机变量 二、两个常见二维连续型随机变量的联合密度函数 例:设二维随机变量 (X,Y)X,Y) 服从区域 G 上的均匀分布 , 其中 G={0<x<1,|y|<x}, 求 (X,Y)X,Y) 的联合密度函数 . y 解: (1,1) y=x o x y=-x (1,-1) 1 0 x 1, | y | x; f ( x, y ) 0 其他
23 . §5.3 二维连续型随机变量 二、两个常见二维连续型随机变量的联合密度函数 例:若 (X,Y)X,Y) 在 D1 上服从均匀分布, D1 为 x 轴、 y 轴及 直线 y=2x+1 所围。求 : (X,Y)X,Y) 的概率密度。 解: 1 4 ( x, y ) D1 y (1) f ( x, y ) D1的面积 0 其他 D1 -1/2 0 x
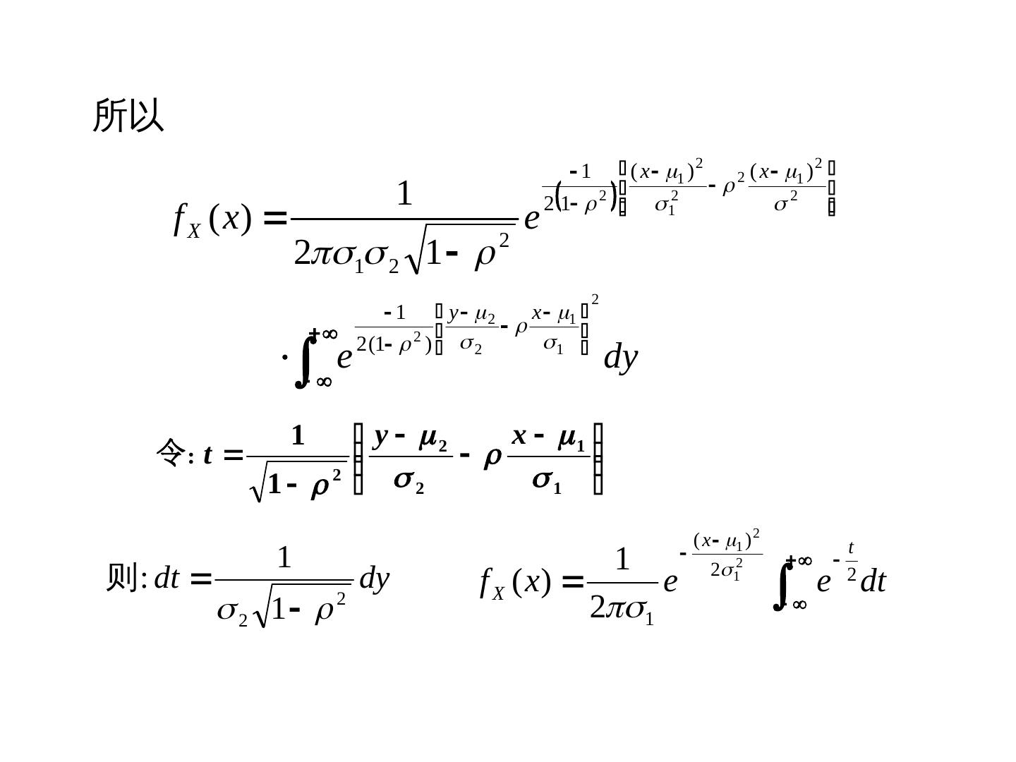
24 . §5.3 二维连续型随机变量 二、两个常见二维连续型随机变量的联合密度函数 (X,Y) 二 ) 二维正态分布 定义 : 若 (X,Y)X,Y) 具有概率密度 1 ( x 1 ) 2 ( x 1 )( y 2 ) ( y 2 ) 1 2 2 (1 ) [ 12 2 2 22 ] f ( x , y) e 2 1 2 1 2 x , y 其中 -∞<μ1<+∞, -∞<μ2<+∞,σ1>0,σ2>0 ,|ρ|<1, 则称 (X,Y)X,Y) 服从参数为 μ1,μ2,σ21,σ22,ρ 的二维正态分布 , 记为 :(X,Y)X,Y)N(X,Y)μ1,μ2, σ21,σ22,ρ).
25 . 1. 随机变量( X , Y )的概率密度为 e y 0 x y f ( x , y ) 0 others 求:( 1 ) P{X0},(X,Y)2)P{X1},(X,Y)3)P{Y y0} 答 : P{X0}=0 y 1 P { X 1} dx e y dy 1 e 1 D 0 x y0 y0 dx e y dy y0 0 P {Y y0 } x 0 x 0 y 0 0
26 .2. 已知二维随机变量( X , Y )的分布密度为 的分布密度为 1 (6 x y ), 0 x 2, 2 y 4 f ( x, y ) 8 0, 其他 求概率 (1) P X 1, Y 3 ; (2) P X Y 3 解 P X 1, Y 3 4 f ( x, y )dxdy D 1 1 3 2 dx (6 x y )dy 0 2 8 1 2 11 1 2 3 3 (6 y xy y ) 2 dx 08 2 8
27 .续解 ……… . P X Y 3 f ( x, y )dxdy D 1 3 x 1 dx (6 x y )dy 0 2 8 1 1 1 2 x+y=3 (6 y xy y ) 3 x 2 dx 08 2 5 24
28 . §5.4 边缘分布 一、边缘分布函数 1 .边缘分布 设 F(X,Y)x,y) 为二维随机变量 (X,Y)X,Y) 的联合分布函数,称 P(X,Y)X≤x)=P(X,Y)X≤x,Y<+∞) (X,Y)-∞<x<+∞) 为 X 的边缘分布函数 , 并记为 Fx(X,Y)x). 2. 公式 . 由于 Fx(X,Y)x)=P(X,Y){X≤x}∩{Y<+∞})=P{X≤x,Y<+∞} =F(X,Y)x,+∞) 同理有 FY(X,Y)y)=F(X,Y)+∞,y).
29 . §5.4 边缘分布 一、边缘分布函数 例 试从联合分布函数 F(X,Y)x,y) ,求关于 X, 关于 Y 的边 : 缘分布函数 FX(X,Y)x),FY(X,Y)y). 1 F ( x, y ) 2 [ arctan x][ arctan y ] 2 2 解 由边缘分布函数的定义我们有 : 1 FX ( x) lim F ( x, y ) lim 2 [ arctan x][ arctan y ] y y 2 2 1 [ arctan x] ( x ) 2 1 FY ( x) lim F ( x, y ) lim 2 [ arctan x][ arctan y ] x x 2 2 1 [ arctan y ] ( y ) 2




































































